Partnerzy serwisu:
Zintegrowany transport

Bezpłatna komunikacja w Starachowicach – utopione pieniądze czy remedium na problemy?

Dalej Wstecz
Data publikacji:
04-03-2025
Ostatnia modyfikacja:
04-03-2025
Tagi geolokalizacji:

Podziel się ze znajomymi:

ZINTEGROWANY TRANSPORT
Bezpłatna komunikacja w Starachowicach – utopione pieniądze czy remedium na problemy?
fot. fb Marek Materek Prezydent Starachowic
Bezpłatna komunikacja miejska w Starachowicach została wprowadzona 1 kwietnia 2022 roku na mocy uchwały Rady Miejskiej. Od tamtej pory miasto zarejestrowało ogromne zmiany w stopniu zainteresowania transportem miejskim. Z jakimi wyzwaniami jednak wiąże się bezpłatna komunikacja i jakie cele stawiają przed sobą Starachowice?

Do korzystania z bezpłatnych przejazdów uprawnieni są mieszkańcy Starachowic oraz osoby płacące podatki w tym mieście, a także niepełnoletni członkowie ich rodzin. Dokumentami potwierdzającymi uprawnienia mogą być m.in. dowód osobisty z adresem zamieszkania, Starachowicka Karta Miejska, Starachowicka Karta Dużej Rodziny, decyzje administracyjne czy zaświadczenia od pracodawcy lub szkoły.

Od momentu wprowadzenia bezpłatnej komunikacji do 1 marca 2024 roku, gdy miasto podsumowywało na swojej stronie okres od wprowadzenia zmian, z miejskich autobusów skorzystało prawie 7 milionów pasażerów. W 2023 roku przewieziono ponad 4 miliony pasażerów, co daje średnio około 340 tysięcy pasażerów miesięcznie. Rekordowy był październik 2023 roku, kiedy to autobusy przewiozły ponad 388 tysięcy osób.

Mimo pozytywnych aspektów, takich jak zwiększenie dostępności transportu publicznego, na początku trwania projektu pojawiły się również głosy krytyczne. Niektóre organizacje zwracały uwagę na wysokie koszty utrzymania bezpłatnej komunikacji oraz na konieczność poprawy jakości usług. Przykładem jest Stowarzyszenie Wrażliwi Społecznie, które prowadziło kampanię na rzecz poprawy jakości komunikacji miejskiej w Starachowicach i zwracało uwagę na wykluczenie transportowe, którego bezpłatna komunikacja miejska nie jest w stanie rozwiązać, ponieważ nie sięga do wszystkich miejsc w mieście.

Władze miasta podkreślają jednak, że wprowadzenie bezpłatnej komunikacji przyczyniło się do zwiększenia liczby pasażerów i poprawy dostępności transportu publicznego dla większości mieszkańców.

W 2023 roku miasto przeznaczyło na utrzymanie bezpłatnej komunikacji miejskiej około 18 milionów złotych. Prezydent Starachowic, Marek Materek, zaznaczył, że wprowadzenie bezpłatnej komunikacji miejskiej zostało połączone z modernizacją i wymianą starego taboru, co wpłynęło pozytywnie na jakość usług.

Władze miasta planują dalsze inwestycje w rozwój i modernizację komunikacji miejskiej, aby sprostać rosnącym wymaganiom mieszkańców i zapewnić im komfortowe warunki podróży.

– Komunikacja miejska w pierwszej kolejności powinna zaspokajać potrzeby transportowe mieszkańców i stanowić realną alternatywę dla podróżujących samochodami. Należy zadać sobie pytanie, czego oczekują mieszkańcy? Czy rzeczywiście największą barierą w korzystaniu z komunikacji jest jej koszt? A może jednak brak kursów w wybranych porach dniach, niska częstotliwość kursowania, czy niedostosowanie rozkładów jazdy i tras autobusów do rzeczywistych potrzeb pasażerów? – komentuje Maciej Mysona, Dyrektor Rozwoju Biznesu w ZDG TOR.

Opłacalność bezpłatnej komunikacji miejskiej

W Starachowicach, decyzja o wprowadzeniu bezpłatnej komunikacji miejskiej, która weszła w życie 1 kwietnia 2022 roku, została poprzedzona szczegółową analizą danych. Jak wiemy bezpośrednio od Urzędu Miejskiego, władze wzięły pod uwagę zarówno liczbę pasażerów korzystających z miejskich autobusów, jak i wpływy ze sprzedaży biletów w ostatnich latach. Jak pokazuje tabela zamieszczona poniżej, w okresie 2018-2021 obserwowano tendencję spadkową liczby pasażerów. Szczególnie w okresie pandemii COVID-19, co zrozumiałe, trend ten nasilił się, a liczba osób korzystających z transportu publicznego spadła drastycznie. Wprowadzenie bezpłatnej komunikacji miejskiej okazało się jednak kluczowym krokiem, który pozwolił odwrócić ten niekorzystny trend.

Rys. 1. Ilość przewiezionych pasażerów komunikacją miejską w latach 2018-2024

Podobna sytuacja dotyczyła wpływów z biletów. W ostatnim pełnym roku, gdy obowiązywała odpłatność za korzystanie z komunikacji miejskiej, wpływy z biletów pokrywały jedynie około 17% kosztów jej funkcjonowania (dotyczy to roku 2021). Jak poinformował nas Urząd Miejski w Starachowicach, rezygnacja z odpłatności za przejazdy nie obciążyła więc znacząco budżetu gminy.

– Warto zwrócić uwagę, że w mniejszych ośrodkach miejskich rzeczywiście koszt utrzymania systemu biletowego jest niewspółmierny do przychodów ze sprzedaży biletów. Dlatego bezpłatna komunikacja autobusowa jest coraz popularniejsza w wielu średniej wielkości miastach. Należy pamiętać jednak, że brak odpłatności nie może iść w parze z obniżeniem jakości świadczonych usług i nie jest panaceum na wszystkie problemy komunikacji miejskiej – mówi Maciej Mysona.

Rys. 2. Wpływy ze sprzedaży biletów komunikacji miejskiej w latach 2018-2024



Rys. 3 Liczba osób przypadająca na 1 wozokm.

Władze Starachowic planują kontynuację polityki bezpłatnej komunikacji miejskiej. Od momentu jej wprowadzenia zauważono duże zainteresowanie możliwością korzystania z komunikacji przez osoby, które mieszkają i pracują w Starachowicach, ale nie są zameldowane w mieście. W takich przypadkach miasto zaleca, aby osoby te skontaktowały się z Urzędem Skarbowym i złożyły deklarację (ZAP-3) o rozliczeniu PIT w Starachowicach.

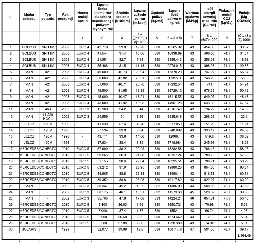
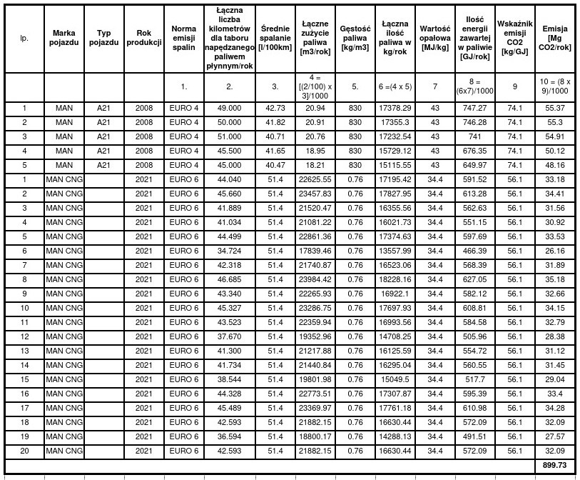
Jedynym mankamentem, które miasto zauważa, jest nieodpowiednie zachowanie części pasażerów, którzy nie szanują wspólnej własności i niszczą mienie publiczne. Niemniej jednak, jak twierdzą władze, jednym z kluczowych sukcesów wdrożenia bezpłatnej komunikacji było wymienienie taboru autobusowego na nowe pojazdy zasilane gazem CNG, co pozwoliło znacząco ograniczyć emisję spalin. Szczegóły dotyczące emisji przedstawiają tabele 2 i 3 zamieszczone na końcu artykułu. Wciąż do wymiany pozostają ostatnie autobusy, które nadal korzystają z silników diesla. Celem Gminy Starachowice jest posiadanie najmłodszego i najbardziej ekologicznego transportu miejskiego w województwie świętokrzyskim.

Gmina Starachowice, wzorując się na doświadczeniach sąsiedniego Ostrowca Świętokrzyskiego, planuje także wprowadzenie autobusów elektrycznych. W Ostrowcu, gdzie autobusy elektryczne są już eksploatowane od kilku lat, okazało się, że dobrze przeszkoleni kierowcy potrafią zakończyć dzień pracy z bateriami na poziomie 60% naładowania, co pozwala osiągnąć znaczne oszczędności w kosztach eksploatacji. Starachowice liczą na podobne wyniki, co pozwoli im obniżyć koszty funkcjonowania komunikacji miejskiej. W przyszłości miasto planuje także inwestycje w fotowoltaikę oraz magazyny energii, które umożliwią wykorzystanie zgromadzonej w ciągu dnia energii do ładowania autobusów w nocy.

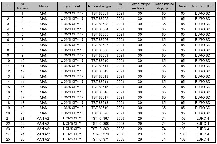
Aktualnie eksploatowany tabor autobusowy w Starachowicach przedstawia tabela 1.

Tabela 1. Wykaz autobusów ZEC Sp. z o.o. w Starachowicach


Tabela 2. Roczna emisja CO2 autobusów komunikacji miejskiej obsługujących miasto Starachowice przed wymianą taboru


Tabela 3. Roczna emisja CO2 autobusów komunikacji miejskiej obsługujących miasto Starachowice po wymianie taboru
Tagi geolokalizacji:

Podziel się z innymi:

Zobacz również:

Inowrocław na finiszu ustaleń – bezpłatna komunikacja dla wszystkich!

Zintegrowany transport

Inowrocław na finiszu ustaleń – bezpłatna komunikacja dla wszystkich!

Paulina Piziorska 07 kwietnia 2025

Kutno bez biletów – komunikacja za darmo, miasto na plusie

Zintegrowany transport

Szczecinek rezygnuje z bezpłatnej komunikacji miejskiej

Zintegrowany transport

Posiadacze Karty Tomaszowianina podróżują w swoim mieście bezpłatnie

Zintegrowany transport

Zobacz również:

Inowrocław na finiszu ustaleń – bezpłatna komunikacja dla wszystkich!

Zintegrowany transport

Inowrocław na finiszu ustaleń – bezpłatna komunikacja dla wszystkich!

Paulina Piziorska 07 kwietnia 2025

Kutno bez biletów – komunikacja za darmo, miasto na plusie

Zintegrowany transport

Szczecinek rezygnuje z bezpłatnej komunikacji miejskiej

Zintegrowany transport

Posiadacze Karty Tomaszowianina podróżują w swoim mieście bezpłatnie

Zintegrowany transport

Kongresy
SZKOLENIE ON-LINE
Śledź nasze wiadomości:
Zapisz się do newslettera:
Podanie adresu e-mail oraz wciśnięcie ‘OK’ jest równoznaczne z wyrażeniem zgody na:
  • przesyłanie przez Zespół Doradców Gospodarczych TOR sp. z o. o. z siedzibą w Warszawie, adres: Sielecka 35, 00-738 Warszawa na podany adres e-mail newsletterów zawierających informacje branżowe, marketingowe oraz handlowe.
  • przesyłanie przez Zespół Doradców Gospodarczych TOR sp. z o. o. z siedzibą w Warszawie, adres: Sielecka 35, 00-738 Warszawa (dalej: TOR), na podany adres e-mail informacji handlowych pochodzących od innych niż TOR podmiotów.
Podanie adresu email oraz wyrażenie zgody jest całkowicie dobrowolne. Podającemu przysługuje prawo do wglądu w swoje dane osobowe przetwarzane przez Zespół Doradców Gospodarczych TOR sp. z o. o. z siedzibą w Warszawie, adres: Sielecka 35, 00-738 Warszawa oraz ich poprawiania.
Współpraca:
Rynek Lotniczy
Rynek Infrastruktury
TOR Konferencje
ZDG TOR
ZDG TOR
© ZDG TOR Sp. z o.o. | Powered by BM5
Zamknij